Sesc e Senac lança a primeira Escola Capixaba de Hospitalidade e Turismo e abre 676 vagas para 20 cursos profissionalizantes
Oportunidades serão ofertadas nos segmentos de hospitalidade, hospedagem, turismo e gastronomia nas unidades do Senac-ES com imersões práticas em áreas do Sesc-ES
O Espírito Santo acaba de ganhar um projeto inédito e pioneiro no Brasil: a primeira Escola Capixaba de Hospitalidade e Turismo, a Tour ES - Escola Capixaba de Turismo Sesc e Senac. A iniciativa foi oficializada durante o ConecturES 2025, realizado na última sexta-feira (26), no Hotel Senac Ilha do Boi, em Vitória, com a assinatura do Acordo de Cooperação Técnica entre Fecomércio-ES, Sesc-ES e Senac-ES e a apresentação da escola e sua identidade visual.
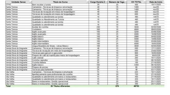
A nova escola já começa abrindo 676 vagas para 20 cursos profissionalizantes que unem teoria e prática, com aulas nas unidades do Senac-ES e imersões nas unidades hoteleiras do Sesc-ES, que possuem características múltiplas de espaços de lazer, eventos e práticas esportivas. Porém, com o fim da reforma do Radium Hotel, em Guarapari, previsto para abril de 2026, todos os cursos serão concentrados no novo espaço, que será a sede da escola.
O portfólio da Escola Capixaba de Turismo Sesc e Senac inclui capacitações em áreas estratégicas para o turismo capixaba, como recepção em hospedagem, atendimento em bares e restaurantes, camareira, inglês para hotelaria e primeiros socorros para turismo de aventura.
O presidente do Sistema Fecomércio-ES – Sesc e Senac, Idalberto Moro, destacou que a criação da Escola Capixaba de Hospitalidade e Turismo demonstra o compromisso das entidades com o futuro do setor.
“Estamos colocando em prática uma ideia ousada e necessária. O turismo é uma das engrenagens mais importantes da nossa economia e precisa de profissionais capacitados para atender com qualidade e hospitalidade. Essa escola é um presente para o Espírito Santo e um marco nacional”, afirmou.
A estrutura da escola funcionará de forma integrada. O Senac-ES será responsável pelo desenho pedagógico, portfólio de cursos, capacitação de instrutores e articulação com o mercado. O Sesc-ES disponibilizará infraestrutura para vivências práticas, como hospedagem, alimentação e espaços para atividades pedagógicas. Já a Fecomércio-ES contribuirá com pesquisas, articulação institucional e inteligência de mercado.
Para o diretor regional do Sesc-ES, Luiz Toniato, a iniciativa traduz o papel social da entidade. “O Sesc tem como missão cuidar das pessoas e de forma mais especial, dos trabalhadores do comércio de bens, serviços e turismo. Ao disponibilizar nossas estruturas para as imersões práticas, estamos contribuindo para a formação de profissionais completos, preparados para o mercado e comprometidos com a qualidade de vida da comunidade”, ressaltou.
O diretor regional do Senac-ES, Richardson Schmittel, destacou o caráter transformador da formação. “O Senac tem tradição em qualificar profissionais para o comércio de bens, serviços e turismo. Agora, com a Escola Capixaba de Hospitalidade e Turismo, unimos teoria e prática de forma inovadora, criando oportunidades reais de empregabilidade e ascensão profissional”, declarou.
Já o presidente da Câmara Empresarial de Turismo (CET-ES), Raimundo Nonato, reforçou a importância da união das entidades. “Essa escola nasce de um esforço coletivo e de uma visão de futuro. O turismo é um setor que movimenta a economia, gera empregos e transforma vidas. Ter uma instituição dedicada a formar profissionais nesse segmento é um divisor de águas para o Espírito Santo”, destacou.
O Acordo de Cooperação Técnica terá vigência inicial de 60 meses (cinco anos), podendo ser prorrogado por mais cinco anos, totalizando uma década. O objetivo é estruturar um projeto de longo prazo, capaz de consolidar a escola como referência nacional em hospitalidade e turismo.
Há cursos que já estão com inscrições abertas, que podem ser feitas pelo site do Senac-ES: https://es.senac.br/. As aulas serão realizadas em unidades de Cariacica, Vila Velha, Aracruz e no Hotel Escola Senac Ilha do Boi, enquanto as imersões acontecerão nas unidades do Sesc de Domingos Martins, Guarapari, Praia Formosa (Aracruz) e no Hotel Senac Ilha do Boi.
“Estamos diante de um novo capítulo para o turismo capixaba: uma formação conectada às demandas do setor, com vivências reais e certificação de qualidade, que vai preparar o Espírito Santo para ser ainda mais competitivo no cenário nacional e internacional”, concluiu Idalberto Moro.
Saiba mais:
Acordo de Cooperação Técnica
O Acordo de Cooperação Técnica tem por objeto estabelecer a parceria entre o Serviço Nacional de Aprendizagem Comercial – Administração Regional do Espírito Santo (Senac - ES), o Serviço Social do Comércio – Administração Regional do Espírito Santo (Sesc - ES) e a Federação do Comércio de Bens, Serviços e Turismo do Estado do Espírito Santo (Fecomércio-ES) para a implementação conjunta do projeto Escola Capixaba de Turismo, visando à oferta de cursos profissionalizantes com vivências práticas no segmento de hospitalidade e turismo, por meio da integração das expertises, estruturas e articulação institucional das três entidades.
Plano de trabalho
O Plano de Trabalho da Escola Capixaba de Turismo será desenvolvido de forma progressiva e colaborativa, com ações articuladas entre as equipes do Senac-ES, Sesc-ES e Fecomércio-ES.
O Senac-ES será responsável pelo desenho pedagógico e pela execução dos cursos profissionalizantes, incluindo a elaboração dos materiais didáticos, mobilização de alunos, contratação e acompanhamento de instrutores. Caberá também ao Senac a articulação com o setor produtivo e a proposição de selos e certificações que agreguem valor ao perfil profissional dos egressos.
O Sesc-ES, por sua vez, disponibilizará os espaços físicos, hospedagens, alimentação e demais recursos necessários às vivências práticas previstas nos Planos de Trabalho Docente (PTD), além de apoiar institucionalmente a realização de eventos e atividades de fortalecimento da experiência formativa. As unidades envolvidas no projeto serão articuladas previamente para viabilizar o uso compartilhado da infraestrutura de forma segura e eficiente.
Público-alvo da Escola Capixaba de Hospitalidade e Turismo
- Jovens e adultos interessados em ingressar ou se qualificar para o mercado de trabalho nos segmentos de turismo, hospitalidade e gastronomia;
- Trabalhadores em busca de atualização profissional, reconversão de carreira ou ascensão no setor turístico-hoteleiro;
- Pessoas em situação de vulnerabilidade social, priorizadas pelas políticas sociais das instituições, com foco na promoção da inclusão produtiva e na geração de renda;
- Colaboradores das unidades do Sesc-ES e do Senac-ES que atuem nas áreas-fim do projeto e que possam se beneficiar das formações ofertadas como parte de estratégias de desenvolvimento institucional;
- Comunidades do entorno das unidades operacionais do Sesc-ES participantes do projeto, fomentando o desenvolvimento territorial sustentável por meio da qualificação profissional e da valorização da cultura local.
Os cursos
São 32 cursos que estão sendo desenvolvidos, porém, há a possibilidade de cocriação de novas ofertas junto com os municípios e o setor produtivo. Inicialmente, estão abertas 676 vagas para 20 cursos diferentes. Esta é a etapa de implantação, uma fase piloto, e a ampliação da oferta, bem como a garantia da continuidade das turmas e atualização do portfólio, será conduzida e gerida pela Gerência Educacional da Escola Capixaba de Turismo, assegurando evolução constante e alinhamento às demandas do setor.
Cursos previstos na Escola Capixaba de Hospitalidade e Turismo




Cursos que já serão ofertados:

Confira a tabela aqui: https://we.tl/t-avHXm7YFy5
PORTAL SBN | SISTEMA BRASILEIRO DE NOTÍCIAS

